ÉÏÖÜ£¬¡°Ô¬À´ÔÆÔÆ¡±×¨À¸¾Í´ó·Ö×ÓÉúÎïÆÊÎöÒªÁìµÄУ׼ÇúÏßµÄÉè¼Æ¡¢ÌìÉúºÍ±à¼µÄ˼Ë÷ºÍ½¨ÒéÕö¿ªÁËÏêϸÏÈÈÝ£¨Ô¬À´ÔÆÔÆ£ü´ó·Ö×ÓÉúÎïÆÊÎö¸ÅÂÛ£¨ËÄ_ÉÏ£©£ºÐ£×¼ÇúÏßµÄÉè¼Æ£¬ÌìÉúºÍ±à¼£©£¬±¾ÆÚ½«ÑÓÐøÉÏÆÚÄÚÈÝ£¬ÖصãÏÈÈÝ´ó·Ö×ÓÉúÎïÆÊÎöÒªÁìУ׼ÇúÏßÄâºÏÄ£×ÓºÍÈ¨ÖØ¾ÙÐÐÈ¡ÉáµÄÒªÁì¡£
±¾ÏµÁÐÎÄÕÂÏÈÈݵÄÉúÎïÆÊÎöÊÇÖ¸¶¨Á¿µØ²â¶¨ÔÚ¶¯ÎïºÍÈËÌåÌåÒº»ò×éÖ¯ÖеÄÉúÎïÒ©£¨±¾ÎÄÌØÖ¸ÂѰ×ÖÊÀàÉúÎïÒ©£¬°üÀ¨µ¥¿¹£¬Ï¸°ûÒò×Ó£¬Éú³¤ËØ£¬ÈÚºÏÂѰ׵ȣ©µÄŨ¶È¡£´ó´ó¶¼ÉúÎïÆÊÎöÒªÁì¶¼»ùÓÚÃâÒß²âÊÔÒªÁ죨Immunoassays£©£¬»òÕ߸ü¹ãÒ嵨³ÆÎª£¬ÅäÌåÁ¬ÏµÊ½²âÊÔÒªÁ죨ligand binding assays, LBA£©¡£ÕâЩҪÁìÉæ¼°Ò»ÏµÁÐÊÔ¼ÁµÄʹÓã¬È翹ҩÎÌ壬ÆäËü¿¹Ì壬ÉúÎïÒ©µÄ°Ð±êÂѰ׵ȡ£
ÅäÌåÁ¬ÏµÊ½²âÊÔÒªÁ죨LBA£¬Ò²³ÆÎªimmunoassays£©ÊÇÒ»ÖÖ³£Óõ͍Á¿ÆÊÎö¹¤¾ß¡£ÔÚLBAÒªÁìÖУ¬´ý²âÎïŨ¶ÈÓëÏìÓ¦Êý¾ÝÖ®¼äµÄ¹ØÏµÊÇÖÊÁ¿×÷Óö¨ÂÉÇý¶¯µÄ·ÇÏßÐÔ¹ØÏµ£¬Á½¸ö±»ÆÕ±é½ÓÊܺ;ÓÉÑéÖ¤µÄLBAУ׼ÇúÏߵĻعéÄ£×ÓÊÇ4²ÎÊýlogistic£¨4PL£©ºÍ5²ÎÊýlogistic£¨5PL£©ÇúÏßÄâºÏÄ£×Ó¡£Ñ¡ÔñÊʵ±µÄ»Ø¹éÄ£×ÓºÍÈ¨ÖØº¯ÊýÊÇLBAÒªÁ쿪·¢µÄÒªº¦×é³É²¿·Ö¡£
ÔÚÆÊÎöÒªÁ쿪·¢Ê±´ú£¬Ó¦¶ÔÑ¡¶¨µÄÄ£×ÓºÍÈ¨ÖØº¯Êý¾ÙÐÐÆÀ¹À£¬²¢ÔÚÑé֤ʱ´ú¼ÓÒÔÈ·ÈÏ¡£¹ØÓÚÈ·¶¨»òÑ¡ÔñÊʵ±µÄ»Ø¹éÄ£×ÓºÍÈ¨ÖØº¯ÊýµÄÏÖʵ²Ù×÷ÒªÁ죬ÔÚÒѽÒÏþµÄÎÄÏ×ÖÐÆÄΪÓÐÏÞ£¬±¾ÎĽ«Ìá³öÒ»¸ö½á¹¹»¯µÄ¡¢ÓÐÐòµÄ¼Æ»®À´È·¶¨Á½Õß¡£
ÔÚLBAÖÐÊӲ쵽µÄʵÑéÏìÓ¦ÊÇÒ»¸öÅäÌ壨´ý²âÎºÍ¼ì²âϵͳÖÐʹÓõÄÌØ¶¨²¶»ñ/¼ì²âÊÔ¼ÁµÄƽºâÁ¬ÏµµÄЧ¹û¡£ÊµÑéÏìÓ¦Óë¶ÔÊý±ä»»ºóŨ¶ÈÖ®¼äµÄÕâÖÖ¹ØÏµÊÇ·ÇÏßÐԵģ¬Ê¹µÃµä·¶µÄLBAУ׼ÇúÏßΪËùÓлò²¿·ÖµÄSÐÍ£¨sigmoidal£©¡£³£¼ûµÄ·ÇÏßÐԻعéÄ£×ÓΪ4PLºÍ5PL£¬ÄâºÏÄ£×ÓµÄÑ¡Ôñ¿ÉÄÜÓÉÇúÏßµÄÐÎ×´ËùÇý¶¯¡£ÍêÈ«µÄ sigmoidalÇúÏߣ¨ÆäÖж¥²¿ºÍµ×²¿Æ½Ì¨ÇøÊǾµÏñ£©Í¨³£Ê¹ÓÃ4PL Ä£×Ó¡£²¿·ÖsigmoidalÇúÏߣ¬¼´·Ç¶Ô³ÆÇúÏߣ¬Í¨³£Ê¹ÓÃ5PLÄ£×Ó£¨4PL¡¢5PLÄ£×ÓÏêϸ½â¶ÁÇë´Á¡¶Ô¬À´ÔÆÔÆ£ü´ó·Ö×ÓÉúÎïÆÊÎö¸ÅÂÛ£¨ËÄ_ÉÏ£©£ºÐ£×¼ÇúÏßµÄÉè¼Æ£¬ÌìÉúºÍ±à¼¡·£©¡£
ÓÉÓÚLBAÖÐÅäÌ寽ºâÁ¬Ïµ£¨equilibrium binding£©µÄÌØÕ÷£¬¾³£»áÊӲ쵽²âÊÔÏìÓ¦µÄ·Çºã¶¨µÄ·½²î£¨non-constant variance of response£©£¬ÕâÖÖ²»µÈͬ·½²î³ÆÎªÒì·½²îÐÔ£¨heteroscedasticity£©¡£ÈôÊÇÔÚÇúÏßÄâÊÊʱ²»Ë¼Á¿Ó¦¶ÔÒì·½²îÐÔ£¬Ôò¿ÉÄܵ¼ÖÂ×îÖÕЧ¹ûÖзºÆð»ØËã¹ýʧºÍ¸ü´óµÄÎó²î¡£ÎªÁËïÔÌÒì·½²îÐÔµÄÓ°Ïì²¢Ìá¸ßÇúÏßÄâºÏµÄÖÊÁ¿£¬±ØÐèÖ»¹ÜïÔ̾ßÓнϸ߷½²î£¨higher variance£©µÄУ׼µã¶ÔÇúÏßÄâºÏµÄТ˳£¬¹ãÒå×îСƽ·½ £¨generalized least squares£©ºÍ·½²îÎȹ̱任£¨variance stabilizing transformation£©¿ÉÒÔÓÃÀ´½â¾öÕâ¸öÎÊÌâ¡£ÕâЩҪÁìҪôÔÚÿ¸öÄâºÏµü´úºó¸üÐÂÈ¨ÖØº¯Êý£»ÒªÃ´×ª»»Êý¾ÝºÍÄ£×Ó£¬ÒÔʹÓÃͨË××îСƽ·½Ä£×Ó£¬¶ø²»Ê¹ÓÃÈ¨ÖØº¯Êý¡£ÔÚÒѽÒÏþµÄÒªÁìÖУ¬ÏßÐԻعéбÂÊÒªÁ죨linear regression slope approach£©¿ÉÄÜÊÇ×îÊÊÓõġ£±¾ÎÄÏÂÃæÌÖÂÛÕâ¸öÒªÁì¡£
´ó´ó¶¼Óë LBA²âÊÔÏà¹ØµÄÈí¼þΪÖÖÖÖÄâºÏÄ£×Ӻͳ£ÓõÄÈ¨ÖØº¯Êý£¨Èç 1/Y »ò 1/Y2£©ÌṩÁËÄÚÖõÄÑ¡Ôñ¡£Ïà¹Øî¿ÏµÖ¸ÄϽ¨ÒéʹÓÃ×î¼òÆÓ£¬²¢³ä·ÖÐÎòÁË´ý²âÎïŨ¶ÈÓëÆäÏìÓ¦Ö®¼ä¹ØÏµµÄÄ£×Ó¡£ÔÚÑ¡Ôñ»Ø¹éÄ£×Ó£¨¼Ó»ò²»¼ÓÈ¨ÖØ£©Ê±£¬ÈôÊǶÔÇúÏßÐÎ×´µÄÄ¿ÊÓÆÀ¹ÀºÍ¶ÔʹÓõÄͳ¼ÆÒªÁì¾ÙÐнÏÁ¿£¬Èç½ÏÁ¿F²âÊÔºÍchi-square p value£¬²¢½ûÖ¹Ò×£¬ÆäЧ¹û¿ÉÄÜ»áÁîÈËÒÉÐÄ¡£ÕâÀï³£¼ûµÄÌôÕ½ÊÇÔõÑùÒÀ¾ÝÏà¹ØÖªÊ¶£¬ºÏÀíµØÑ¡ÔñÆäÖÐÖ®Ò»¡£
±¾ÎĽ«ÏÈÈÝÒ»×é°¸ÀýÑо¿£¬ÆäÖнÓÄÉÒ©´ú¶¯Á¦Ñ§¶¨Á¿ÆÊÎöÒªÁ죬ÓÃÓÚѪÇå»òѪ½¬ÖÐÂѰ×ÉúÎïÒ©µÄ¶¨Á¿£¬ÒÔ¼°Ê¹ÓÃͨÓõÄͳ¼ÆÈí¼þÀ´È·¶¨Êʵ±µÄÄâºÏÄ£×ÓºÍÈ¨ÖØÒò×Ó¡£
LBAÒªÁìÊÇÆÀ¹ÀÉúÎïÒ©µÄPK/TKʱµÄÖ÷Òª¶¨Á¿ÆÊÎöÒªÁ죬¸ÃÒªÁìµÄÌØÒìÐÔºÍÑ¡ÔñÐÔÈ¡¾öÓÚÄ¿µÄ´ý²âÎïÓëÆäËûÉúÎï·Ö×Ó£¨ÈçÊÜÌå¡¢ºÍÕë¶ÔºòÑ¡ÉúÎïÒ©µÄ¿¹Ì壩µÄÏ໥×÷Óá£LBAÒªÁìÖÐÊӲ쵽µÄÐźÅ/ÏìÓ¦ÓëÉúÎïÒ©µÄŨ¶È¼ä½ÓÏà¹Ø¡£
ÏÂÃæµÄʾÀýA¡¢BºÍC¶¼Ê¹ÓÃÁËLBAÒªÁ죬Èçµç»¯Ñ§·¢¹â£¨ECL£©¼ì²âƽ̨»ò±ÈÉ«·¨ELISA¼ì²âƽ̨£¬ÓÃÓÚ¶¨Á¿ÆÊÎöѪ½¬»òѪÇ壨ÈË»òʳзºï£©ÖеÄÂѰ×ÉúÎïҩŨ¶È¡£Ã¿¸ö°¸ÀýÑо¿ÖÐµÄÆÊÎöÒªÁì¼òÊöÈçÏ£º
°¸ÀýA£º¶ÔMeso Scale Discovery£¨MSD£©Multi-Array?΢¿×°å£¬Ê¹Óõ¥¿Ë¡¿¹Ò©ÎÌ壨5 ?g/mL£©°ü°å£¬×¡ËÞ£»Ö®ºó£¬Ó뺬ÓÐÒ©ÎïµÄÑùÆ·ÔÚÊÒÎÂÏ·õÓý60·ÖÖÓ£»Ï´°åºó£¬Á¬Ïµµ½°åÉϵÄÒ©ÎïÓëbiotinylatedµ¥¿Ë¡¼ì²â¿¹Ì壨2.5??g/mL£©·õÓý60·ÖÖÓ£»È»ºó¼ÓÈë0.1??g/mL µÄStreptavidin-ruthenium£¬ÔÙ·õÓý60·ÖÖÓ£»Ö®ºó£¬MSDÒÇÆ÷ÔÚÌØ¶¨Ìõ¼þϼì²âµ½À´×Ôruthenium µÄµç»¯Ñ§·¢¹âÐźš£
°¸ÀýB£º¶Ôstreptavidin °ü±»µÄMSD Multi-Array?΢¿×°å£¬ÔÚÊÒÎÂÏ£¬ÒÔbiotinylatedµ¥¿Ë¡¿¹Ì壨4mg/mL£©°ü°å60ÖÁ120·ÖÖÓ£»Ëæºó£¬º¬ÓÐÒ©ÎïµÄÑùÆ·ÔÚÉÏÊö΢¿×°åÉÏ·õÓý90·ÖÖÓ£»Ê¹ÓÃСÊó¿¹ÈËIgG Fc-Ruthenium£¨0.36mg/mL£©·õÓý60·ÖÖÓ£¬ÒÔÁ¬Ïµ±»¿¹Ìå²¶»ñµÄÉúÎïÒ©£»Ö®ºó£¬MSDÒÇÆ÷ÔÚÌØ¶¨Ìõ¼þϼì²âµ½À´×Ôruthenium µÄµç»¯Ñ§·¢¹âÐźš£
°¸ÀýC£ºÔÚCostar΢¿×°åÉÏ£¬ÔÚ4¡ãC°ü±»Ò©Îï°Ðµã£¨4 mg/mL£©£¬×¡ËÞ£»Óë°ÐµãÁ¬ÏµºóµÄÉúÎïÒ©£¬ÔÙÓë50 ng/mLµÄbiotinylatedµ¥¿Ë¡¿¹Ìå·õÓý60·ÖÖÓ£»Ö®ºó£¬ÔÙÓë1:50,000Ï¡ÊͺóµÄavidin D-HRP ·õÓý60·ÖÖÓ£»Ëæºó£¬¼ÓÈëHRPøµ×ÎTMB£¬ÒÔ±¬·¢É«¶È·´Ó¦£»È»ºóÓÃÁòËá×èÖ¹¸Ã·´Ó¦£¬²¢ÔÚø±êÒÇSpectramaxÉÏ£¬ÕÉÁ¿450nmµÄ¹âѧÃܶȣ¨OD£©¡£
Òì·½²îÐÔ£¨Heteroscedasticity£©
ÔÚÊÕÂÞµ½µÄʵÑéÔËÐеıê׼У׼Êý¾ÝÜöÝÍ£¨standard calibration data£©ÖУ¬¿ÉÒÔͨ¹ýÊÓ²ì²âÊÔÐźŵıê×¼Îó²î£¨SD£©ºÍУ׼µãŨ¶ÈÖ®¼äµÄ¹ØÏµÀ´ÆÀ¹ÀÒì·½²îÐÔ¡£Îª´Ë£¬»®·ÖÆÀ¹ÀÁ˰¸ÀýA¡¢BºÍCÔÚÒªÁ쿪·¢Àú³ÌÖлñµÃµÄ6¡¢7ºÍ10¸ö×ÔÁ¦ÔËÐС£
Ê×ÏÈ£¬Ê¹ÓÃMicrosoft Excel 2010ÅÌËã±ê×¼·½²î£¬Æä´ÎʹÓà GraphPad Prizm 7 À´»æÖÆÃ¿¸öУ׼Ʒ²âÊÔÐźŵÄSDÓëУ׼µãŨ¶ÈµÄ¹ØÏµÍ¼¡£ÔÚÄ¿ÊÓ¿¼²ìÁËSDת±äµÄÇ÷ÊÆºó£¬¾Í¿ÉÒÔÈ·¶¨¶ÔÈ¨ÖØº¯ÊýµÄÐèÇó¡£ÈôÊÇSD±¬·¢Òƶ¯£¬ÔòÅú×¢ÎúÒì·½²îÐÔ£¬Òò´Ë£¬ÐèҪʹÓÃÈ¨ÖØº¯Êý¡£ÈôÊÇSDÔÚУ׼ƷŨ¶È¹æÄ£ÄÚÊǺ㶨µÄ£¬ÔòÎÞÐè¼ÓȨ¡£
µ±ÔÚУ׼ÇúÏßÖÐÊӲ쵽²âÊÔÐźŵıê×¼Îó²îËæÅ¨¶È±¬·¢×ª±äʱ£¬¾ÍÐèÒª¶Ô¸ü׼ȷµÄÊý¾Ýµã£¨¾ßÓнϵÍSDµÄÊý¾Ý£©Ê¹ÓÃÈ¨ÖØº¯ÊýÀ´µ÷½âÇúÏßµÄÄâºÏ¡£ÔÚ GraphPad Prizm 7 ÖУ¬¿ÉÒÔʹÓÃͼÐÎÏßÐԻعéÒªÁ죨graphical linear regression approach£©ÅÌËãÈ¨ÖØº¯ÊýÒò×ÓÈçÏ£º
°ì·¨1. »æÖÆÏÂÊö¶þÕߵĹØÏµÍ¼£º¶ÔÊýת»»ºóµÄ²âÊÔÐÅºÅÆ½¾ùÖµÓë¶ÔÊýת»»ºóµÄSD£¬¶Ô¶þÕßʹÓÃÏàͬµÄ¶ÔÊýµ×Êý£¨10»ò2£©¡£
°ì·¨2. ÔÚ°ì·¨1ÖлñµÃµÄÏßÐԻعéÖ±ÏßµÄбÂÊÖµ£¨k£©³ËÒÔ2£¬ÒÔÈ·¶¨È¨Öغ¯ÊýÒò×Ó£¨weighting function factor£©£¬¼´2k¡£
ΪÁËÆ½ºâËùÓÐУ׼µãµÄТ˳£¬ÔÚ4PL»ò5PLÇúÏßÄâºÏÖÐÓ¦ÓÃÈ¨ÖØº¯Êý 1/Y2k£¨ÆäÖÐYÊDzâÊÔÐźţ¬2kÊÇÈ¨ÖØÒò×Ó£©£¬ÒÔÖ»¹ÜïÔÌweighted sum-of-squares£¬´Ó¶ø»ñµÃ¸üºÃµÄ׼ȷ¶ÈºÍϸÃܶȡ£
½«È¨Öغ¯Êý 1/Y2k Ó¦ÓÃÓÚÇúÏßÄâºÏÄ£×Ó £¨4PL »ò 5PL£©ºó£¬ÔÙʹÓÃWatson LIMS£¬½«»ØËãµÄУ׼µãŨ¶È²åÈë¼ÓȨÄâºÏµÄÇúÏߣ¨¼Ù¶¨ÕâЩУ׼µãÊÇδ֪Ũ¶ÈµÄÑù±¾£©¡£
ÈôÊǶÔËùÓвâÊÔÔËÐкͶÔÿ¸ö±ê׼У׼µã£¨Ãª¶¨µã³ýÍ⣩£¬ÀÛ»ý%REÔÚ¡À15% Ö®ÄÚ²¢ÇÒÀÛ»ý%CV¡Ü15%£¬Ôò»Ø¹éÄ£×ÓÊÇ¿ÉÒÔ½ÓÊܵ컵«¹ØÓÚ¶¨Á¿ÏÂÏÞ£¨LLOQ£©ºÍÉÏÏÞ£¨ULOQ£©£¬½ÓÊܱê×¼Ò»Ñùƽ³£ %RE¡À20ºÍÀÛ»ý %CV¡Ü20¡£Ô¤¼ÆµÄ¶¨Á¿¹æÄ££¨ROQ£©ÊÇÔÚÇкÏÉÏÊö½ÓÊܱê×¼µÄ×îµÍºÍ×î¸ß±ê׼Ũ¶ÈÖ®¼äÈ·¶¨µÄ¡£ÔÚ MS Excel 2010 ÖУ¬ÀÛ¼Æ%REºÍÀÛ»ý%CV »®·ÖÅÌËãΪ£º[100 - 100 x£¨»ØËãŨ¶ÈµÄƽ¾ùÖµ/±ê³ÆÅ¨¶È£©]ºÍ 100 X£¨»ØËãŨ¶ÈµÄ±ê×¼·½²î/»ØËãŨ¶ÈµÄƽ¾ùÖµ£©¡£
Ö®ºó£¬Ê¹Óà GraphPad Prizm 7 »æÖÆ 4PL ºÍ 5PL Ö®¼ä׼ȷ¶È£¨ÀÛ»ýcumulative %RE£©ºÍϸÃܶȣ¨ÀÛ»ýcumulative %CV£©µÄ½ÏÁ¿Í¼¡£»Ø¹éÄ£×ÓµÄÏàÒËÐÔ¿ÉʹÓô˿ÉÊÓ»¯Í¼Ðι¤¾ßÀ´ÅжϣºÔڿɽÓÊܵĹæÄ£ÄÚ°üÀ¨Á˸ü¶à±ê׼У׼µã£¬²¢ÇÒÀÛ»ý %RE ºÍÀÛ»ý %CV ½ÏµÍÄ£×Ó£¬¾ÍÊÇÓ¦¸ÃÑ¡ÔñµÄÄ£×Ó¡£ÈôÊÇÁ½ÖÖÄ£×ÓµÄЧÄܺÜÊÇÏàËÆ£¬Ôò¿Éͨ¹ýÊÇ·ñ¾ßÓмÓȨ4PLÀ´×öÑ¡Ôñ £¬ÓÉÓÚÒ»Ñùƽ³£×ñÕÕ Occam¡¯s razor ÔÔò£¬ ¼´ÒÔ×îÉٵļÙÉ裬·¢Ã÷Êý¾ÝºÍÄ£×ÓÖ®¼äµÄ¹ØÏµ¡£
ͼ1. Ñ¡ÔñÇúÏßÄâºÏÄ£×ÓÒÔÌá¸ßÇúÏßÐÔÄܵÄÒªÁì¡£ÏÖʵÊÂÇéÁ÷³ÌÐÎòÁËÑ¡ÔñÈ¨ÖØº¯ÊýºÍÇúÏßÄâºÏÄ£×ÓµÄÿ¸ö°ì·¨ºÍÕû¸öÀú³Ì¡£

±¾ÎÄÌá³öÁËÒ»Öֽṹ»¯µÄÒªÁ죬ͨ¹ýÑ¡Ôñ׼ȷµÄÇúÏßÄâºÏÄ£×ÓºÍÈ¨ÖØº¯Êý£¬ÒÔÀ©Õ¹ LBAÆÊÎöÒªÁìµÄ¶¨Á¿¹æÄ££¨Í¼1£©¡£¸ÃÒªÁìÍêÈ«´ÓÊýѧµÄ½Ç¶È³ö·¢£¬È·¶¨Ò»ÌõУ׼ÇúÏßÊÇ·ñÐèÒª¼ÓÈ¨ÖØÒÔ¼°ÄÄÖÖ¼ÓȨ·½·¨×îºÏÀí¡£ÈôÊÇÍøÂçµ½µÄÊý¾ÝÖзºÆð³öµÄÒìÖÊÐÔ£¬ÔòÔÚ׼ȷ¶ÈºÍϸÃܶÈÐÐΪ·½Ã棬¶Ô4PLºÍ5PLÁ½¸öÄ£×Ó£¨ÒÔ¼°È·¶¨µÄÈ¨ÖØº¯Êý£©¾ÙÐнÏÁ¿£»ÈôÊÇδÊӲ쵽Òì·½²îÐÔ£¬Ôò¶Ô²»º¬È¨ÖØÁ¿4PLºÍ5PLÄ£×Ó¾ÙÐнÏÁ¿¡£ÒÔϽ«´ËÔÔòÓ¦ÓÃÓÚ3¸öµä·¶ LBAÆÊÎö°¸Àý¡£ÔÚÕâ3¸öÉúÎïÒ©µÄÒ©´ú¶¯Á¦Ñ§£¨PK£©Ñо¿°¸ÀýÖУ¬×ܹ²¿ª·¢ÁË3¸öÆÊÎöÒªÁ죬²¢ÊӲ쵽3ÖÖ²î±ðÐÎ×´µÄУ׼ÇúÏß¡£ÆäÖУ¬Á½¸öÆÊÎöÒªÁ죨°¸ÀýAºÍB£©Ê¹ÓÃÁ˵绯ѧ·¢¹â£¨ECL£©Æ½Ì¨£¬¶øÁíÒ»¸öÆÊÎöÒªÁ죨°¸ÀýC£©Ê¹ÓÃÁ˱ÈÉ«ELISAƽ̨¡£
ΪÁËÔÚÒªÁ쿪·¢Àú³ÌÖжÔŨ¶È-²âÊÔÐźŵĹØÏµ¾ÙÐÐÏêϸÑо¿£¬±í1ÖÐÐÎòÁ˶¨Á¿ÆÊÎöÉúÎïÒ©A¡¢BºÍCŨ¶ÈµÄ3ÌõУ׼ÇúÏß¡£ÔÚÔ¤ÆÚµÄ¶¨Á¿¹æÄ£ÄÚ£¨¶ÔÊý±ê×¼ÉÏ£©£¬Ð£×¼µã´óÖÂÔȳÆÂþÑÜ¡£
±í1. 3ÌõPKУ׼ÇúÏßµÄÌØÕ÷×ܽá

ÓÃÓÚÆÀ¹À¸÷×ÔPKÆÊÎöÔËÐеÄУ׼ÇúÏßÊý¾ÝÈçͼ2Ëùʾ¡£ÔÚËùÓÐ3¸ö°¸ÀýÑо¿Öж¼ÊӲ쵽Á˵䷶µÄ·ÇÏßÐÔµÄŨ¶È-ÏìÓ¦ÇúÏß¡£
ͼ2. 3¸ö°¸ÀýÑо¿ÖеÄУ׼ÇúÏߣº°¸Àý A£¨a£©£¬°¸Àý B£¨b£© ºÍ°¸Àý C£¨c£©¡£¸ÃͼչʾÁË3Ìõ±ê×¼ÇúÏßµÄÐÎ×´£¬´ú±íÁËÔÚLBA²âÊÔÖÐͨ³£ÊӲ쵽µÄµä·¶·ÇÏßÐÔÏìÓ¦¡£XÖá´ú±íУ׼µãŨ¶ÈµÄ¶ÔÊý£¬YÖá´ú±íÏìÓ¦¶ÁÊý£º°¸ÀýAºÍBÊÇÏà¶Ô¹âµ¥Î»£¨RLU£©£¬°¸ÀýCÊÇ450 nM ¹âѧÃܶȣ¨OD 450£©¡£

ͼ3. °¸ÀýA£¨a£©¡¢°¸ÀýB£¨b£©ºÍ°¸ÀýC£¨c£©µÄÒì·½²îÐԸſö¡£XÖá´ú±íУ׼µãŨ¶ÈµÄ¶ÔÊý£¬YÖá´ú±íʵÑéÔËÐÐÖвâÊÔÐźŵÄSD¡£

ÏÂÃæÆÀ¹ÀÁ˱í1ÖÐ3ÌõУ׼ÇúÏßÉϲâÊÔÐźŵıê×¼Îó²î£¨SD£©£¬¸ÃSDÊÇÒì·½²îÐÔµÄÖ±½ÓÖ¸±ê¡£Õâ3ÌõУ׼ÇúÏßÉϲâÊÔÐźŵÄSD£¨±äÒìÐÔvariability£©²»ÊǺ㶨µÄ£¬¶øÊÇËæ×ÅУ׼µãµÄŨ¶È¶ø¸Äת±äµÄ£¨Í¼3£©¡£
¹ØÓÚ°¸ÀýA£¬µ±Ò©ÎïŨ¶ÈÁè¼Ý 20 ng/mLʱ£¬Æä±äÒìÐÔ¼±¾çÔöÌí¡£ÔÚ°¸ÀýBÖУ¬SD´ó·ùÔöÌí£¬Ö±µ½48.3 ng/mLµÄŨ¶È£¬²¢ÔÚ 48.3ºÍ 250 ng/mL Ö®¼ä·ºÆðϽµÇ÷ÊÆ¡£¹ØÓÚ°¸ÀýC £¬SD ÔöÌí£¬Ò»Ö±µ½23.5 ng/mLµÄŨ¶È£¬Ö®ºóÉÔ΢½µ£¬Ö±ÖÁ79.3 ng/mL¡£×ÜÌå¶øÑÔ£¬Å¨¶È½Ï¸ßУ׼µãµÄSD´óÓÚŨ¶È½ÏµÍУ׼µã¡£Ð£×¼ÇúÏßÖ®¼äµÄ·Çºã¶¨ SD ģʽ´úÌåÏÖÒì·½²îÐÔ£¬ÔڽϸßŨ¶Èϵĸ߱äÒìÐÔÅú×¢ÐèҪʹÓüÓȨÄâºÏ¡£Í¼1ËùʾµÄ¾öÒéÊ÷Ö¸Ã÷ÎúÔõÑùÈ·¶¨Êʵ±µÄÈ¨ÖØÒò×ӺͿÉÒÔ½ÓÊܵÄÄâºÏÄ£×Ó¡£
ΪÁËÈ·¶¨È¨ÖØÒò×Ó£¬Ê×ÏÈÐèÒª´ÓÏÂÃæµÄÏßÐԻعéÖеóöбÂÊ£¨kÖµ£©£º¶ÔÊý±ä»»µÄ²âÊÔÐźÅSD vs ¶ÔÊý±äµÄ»»²âÊÔÐÅºÅÆ½¾ùÖµ£¨Í¼4£©£»È»ºó£¬Ó¦Óà 1/Y2k ·½³ÌʽÀ´ÅÌËã×îÖÕµÄÈ¨ÖØº¯Êý¡£¹ØÓÚ°¸Àý A£¬B ºÍ C£¬ÏßÐԻعéµÄбÂÊ»®·ÖΪ 1.06¡¢1.00 ºÍ 0.657¡£¹ØÓÚ°¸Àý A ºÍ B£¬ÓÉÓÚбÂÊ¿¿½ü1.0£¬Òò´ËÔÚ4PLºÍ5PLÄ£×ÓÖÐʹÓÃÁËÈ¨ÖØº¯Êý1/Y2 ¡£¹ØÓÚ C Àý£¬È¨Öغ¯ÊýΪ 1/Y£¬ÓÉÓÚбÂÊ¿¿½ü 0.5¡£ÔÚWaston LIMSÖУ¬Ö»ÓÐ 1/Y or 1/Y2ÕâÁ½ÖÖÈ¨ÖØº¯Êý¿ÉÓá£
ͼ4. °¸Àý A£¨a£©¡¢°¸Àý B £¨b£© ºÍ°¸Àý C £¨c£©ÖÐkÖµ¼òÖ±¶¨¡£°¸Àý A¡¢B ºÍ C µÄбÂÊ£¨kÖµ£©»®·ÖΪ 1.06¡¢1.00 ºÍ 0.657¡£°¸ÀýA¡¢BºÍCµÄR2£¨È·¶¨ÏµÊýcoefficient of determination£©»®·ÖΪ0.998¡¢0.984ºÍ0.934¡£

Ϊȷ¶¨¿ÉÒÔ½ÓÊܵÄÇúÏßÄâºÏÄ£×Ó£¬¿¼²ìÁËÈçϲÎÊý£º4PLºÍ 5PLÄ£×Ó£»È¨Öغ¯Êý£º1/Y2£¨°¸ÀýA£©£¬1/Y2£¨°¸ÀýB£©ºÍ 1/Y£¨°¸ÀýC£©£»½ÏÁ¿²ÎÊý£º»ØËãŨ¶ÈµÄÀÛ»ý %RE£¨Í¼5£©ºÍÀÛ»ý %CV£¨Í¼6£©¡£Ó¦ÖÐÑ¡ÔñÔڿɽÓÊܵĹæÄ£ÄÚ£¬¾ßÓнϵ͵Ä%CVºÍ%REУ׼µãÊýÄ¿½Ï¶àµÄ»Ø¹éÄ£×Ó¡£ÈôÊÇÁ½Õß¶¼ÊÇÏ൱µÄ£¬ÔòӦѡȡ¼ÓȨ4PL×÷Ϊ×îÖÕµÄÇúÏßÄâºÏÄ£×Ó¡£ÔÚ Watson LIMS ÖÐÌìÉúÿ´ÎÔËÐеĻØËãŨ¶È¡£ËùÓÐÇéÐεĻØËãŨ¶ÈµÄÀÛ»ý %REºÍ %CVÅÌË㣨ÔÚÇúÏßÄâºÏÄ£×ÓÈ·¶¨ÕÂ½ÚµÄ B ²¿·Ö£©¡£Í¼5ºÍͼ6¸ø³öÁ˼ÓȨ4PLÄ£×ÓÓë¼ÓȨ5PLÄ£×ÓµÄÀÛ»ý %REºÍÀÛ»ý %CVµÄ½ÏÁ¿¡£
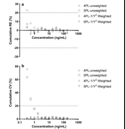
Èçͼ5Ëùʾ£¬¹ØÓÚ¾ßÓÐÏìÓ¦È¨ÖØº¯ÊýµÄ4PLºÍ5PLÄ£×Ó£¬ËùÓÐУ׼µãµÄ %RE»®·Ö£º°¸ÀýA£¬ µÍÓÚ4%ºÍ3%£»°¸Àý B£¬µÍÓÚ18%ºÍ16%£»°¸Àý C£¬µÍÓÚ7 ºÍ 6%¡£ÔÚËùÓа¸ÀýÑо¿ÖУ¬¼ÓȨ4PLºÍ¼ÓȨ5PLÄ£×ÓµÄ׼ȷ¶ÈÊÇÏ൱µÄ£¬¹ØÓÚ°¸Àý A¡¢B ºÍ C£¬ËùÓÐУ׼µã¶¼ÔÚ¿ÉÒÔ½ÓÊܵĹæÄ£ÄÚ¡£Æ¾Ö¤×¼È·¶ÈÐÐÎªÍ¼ÍÆ¶ÏµÄ¶¨Á¿¹æÄ££¨ROQ£©»®·ÖΪ£º0.317-178 ng/mL£¨°¸ÀýA£©£¬0.602-250 ng/mL£¨°¸ÀýB£©£¬ºÍ1.37-79.3 ng/mL£¨°¸ÀýC£©¡£
ͼ5. ׼ȷ¶ÈÐÐΪͼ¡£¶Ô°¸ÀýA£¨a£©¡¢°¸ÀýB£¨b£©ºÍ°¸ÀýC£¨c£©ÖÐУ׼ÇúÏߵļÓȨ£¨1/Y»òÕß1/Y2£©ÄâºÏÄ£×Ó¾ÙÐÐÁ˽ÏÁ¿¡£½ÏÁ¿Ä£×Ó£º4PL vs 5PL£»½ÏÁ¿²ÎÊý£º»ØËãŨ¶ÈµÄÀÛ»ýÏà¶ÔÎó²î£¨%RE£©¡£Á½ÌõÐéÏßÖ®¼äµÄÇøÓòÊǿɽÓÊܹæÄ££¨¡À 20%£©¡££¨¡ð£©´ú±í4PL¼ÓȨÄâºÏ£¬£¨¡õ£©´ú±í5PL¼ÓȨÄâºÏ¡£

ͼ6ÏÔʾ£¬¹ØÓÚ¼ÓȨ4PLºÍ¼ÓȨ5PLÇúÏßÄâºÏÄ£×Ó£¬ËùÓÐУ׼µãµÄÀÛ¼Æ%CV£º°¸ÀýA£¬µÍÓÚ3.0ºÍ2.9%£»°¸ÀýB£¬µÍÓÚ39.7%ºÍ26.3%£»°¸ÀýC£¬µÍÓÚ6.6%ºÍ10.8%¡£°¸ÀýAºÍC¶ÔÁ½¸öÄâºÏÄ£×Ó¼ÓȨÄâºÏºó£¬ËùÓÐУ׼µãµÄ %CV±äµÃÏ൱ÁË¡£¶Ô°¸ÀýAºÍC£¬ËùÓÐУ׼µãµÄ¼ÓȨ4PLºÍ¼ÓȨ5PLµÄϸÃܶÈÒ²ÊÇÏàËÆµÄ¡£Æ¾Ö¤Ï¸ÃܶÈÐÐÎªÍ¼ÍÆ¶ÏµÄROQ»®·ÖΪ0.317-178 ng/mL£¨°¸ÀýA£©ºÍ1.37-79.3 ng/mL£¨°¸ÀýC£©¡£Ê¹ÓüÓȨ4PLÄ£×Ó£¬Óë¼ÓȨ5PLÄ£×ÓÏà±È£¬°¸ÀýB¿ÉÒÔ½ÓÊܵÄУ׼µãÊýÄ¿´Ó9ÔöÌíµ½11£¬¼ÓȨ4PLÄ£×ӵĹÀËãµÄROQ Ϊ 0.602-145 ng/mL£¬¶ø¼ÓȨ5PLÄ£×ӵļì²â¹æÄ£½ÏÕ£º0.602 - 48.3 ng/mL¡£Æ¾Ö¤½ÓÊܱê×¼£¬¹ØÓÚ°¸Àý A¡¢B ºÍ C £¬×îÖÕ¿ÉÒÔ½ÓÊܵÄÇúÏßÄâºÏÄ£×Ó¶¼ÊÇ4PL£¬È¨Öغ¯Êý»®·ÖΪ 1/Y2£¬1/Y2ºÍ1/Y¡£
ͼ6. ϸÃܶÈÐÐΪͼ£º°¸ÀýA£¨a£©£¬°¸ÀýB£¨b£©ºÍ°¸ÀýC£¨c£©½ÏÁ¿Ä£×Ó£º¼ÓȨ4PL vs ¼ÓȨ5PL£»½ÏÁ¿²ÎÊý£º»ØËãŨ¶ÈµÄ %CV¡£ÐéÏߺÍXÖáÖ®¼äµÄÇøÓòÊǿɽÓÊܹæÄ££¨¡À 20%£©¡££¨¡ð£©´ú±í 4PL ¼ÓȨÄâºÏ£¬£¨¡õ£©´ú±í 5PL ¼ÓȨÄâºÏ¡£

ͼ7ÑÝʾÁ˶԰¸Àý A Ó¦ÓÃÉÏÊö¼Æ»®ºó£¬Ð£×¼ÇúÏßÐÔÄÜÊÇÔõÑùË¢Ðµģ¨´Ë´¦²»ÏÔʾ°¸ÀýBºÍCµÄͼ±í£©¡£Ê¹Ó÷ǼÓȨ4PL»Ø¹éÄ£×Ó»ØËãŨ¶È»æÖƵÄ׼ȷ¶ÈÐÐΪͼ£¨ÀÛ»ý %RE£¬Í¼7a£©Åú×¢£¬Óë¼ÓȨÏà±È´ËÄ£×ÓÌåÏÖ³ö¸üյĶ¯Ì¬¹æÄ££¬0.563-178 ng/mL£»¼ÓȨ4PLÄ£×Ó£º0.317-178 ng/mL¡£·Ç¼ÓȨ 5PL»Ø¹éÄ£×ÓÏÔʾ¸üºÃµÄ׼ȷ¶È£ºËùÓÐУ׼µãµÍÓÚ20%¡£¿ÉÊÇ£¬ÔÚÓ¦ÓÃ1/Y2µÄÈ¨ÖØº¯Êý£¨ÔÚ¡°Òì·½²î¶ÈÆÀ¹À¡±Õ½ÚÈ·¶¨£©ºó£¬ ËùÓÐУ׼µãµÄÀÛ»ý %RE»ñµÃ¸ÄÉÆ£¬¶¼ÔÚ¡À3%ÒÔÄÚ£¨Í¼7a£©¡£
ϸÃܶÈÐÐΪͼ£¨ÀÛ»ý %CV£¬Í¼7b£©ÏÔʾ£¬·Ç¼ÓȨ4PLºÍ5PL»Ø¹éÄ£×ÓµÄROQÏÔÖøÏÁÕ£º1.00-178 ng/mL£»¶øÔÚʹÓÃÁË1/Y2 µÄÈ¨ÖØº¯Êýºó£¬ROQ±äΪ0.317-178 ng/mL¡£¸ÃУ׼ÇúÏߵͶ˵ÄЧÄܵÄÏÔÖø¸ÄÉÆÏÔʾÁ˼ÓȨÄâºÏµÄʵÁ¦£¬ÒòÆä½µµÍÁ˸߱äÒìÐԵIJâÊÔÐźŶÔÇúÏßÄâºÏµÄÓ°Ïì¡£°¸ÀýAÅú×¢£¬Ê¹ÓÃÊʵ±µÄÈ¨ÖØº¯Êý¿ÉÒÔÌá¸ßϸÃܶȺÍ׼ȷ¶È£¨¾ùµÍÓÚ4%£©ÒÔ¼°À©Õ¹¶¨Á¿¹æÄ££¨0.317-178 ng/mL£©¡£
ͼ7. °¸ÀýA±ê×¼ÇúÏß¼ÓȨ֮ǰºÍÖ®ºó£¬4PLºÍ5PLÄ£×ÓµÄ׼ȷ¶ÈºÍϸÃܶÈÐÐΪͼ¡£ÀÛ»ý %RE£¨Í¼ 7a£©ºÍÀÛ¼Æ %CV£¨Í¼7b£©ÔÚÄ£×ÓÖ®¼äµÄ½ÏÁ¿£º4PL vs. 5PL£¨ÎÞÈ¨ÖØ£©£»ÒÔ¼°4PL vs. 5PL£¨È¨ÖØÒò×Ó£º1/Y2£©¡£

±í2ÏÔʾ£¬Ê¹ÓÃÊʵ±µÄÈ¨ÖØº¯Êý¿ÉÒÔÀ©Õ¹ROQ¡£¶Ô°¸ÀýB£¬Ó¦ÓÃÈ¨ÖØº¯Êýµ½4PL»Ø¹éÄ£×Óºó£¬ROQ»ñµÃÏÔÖøÀ©Õ¹£»´Óδ¼ÓȨµÄ1.04-48.3 ng/mLµ½ ¼ÓȨµÄ0.602-145 ng/mL£»¼ÓȨ5PLÄ£×ÓµÄROQ£¬Ôò´Óδ¼ÓȨ1.04-145 ng/mL±äΪ¼ÓȨµÄ0.602-48.3 ng/mL¡£¶Ô°¸ÀýC£¬4PLÄ£×ÓµÄROQÂÔÓÐÀ©Õ¹£º´Óδ¼ÓȨµÄ2.06-79.3 ng/mL£¬µ½¼ÓȨµÄ1.37-79.3 ng/mL¡£¹ØÓÚ5PLÄ£×Ó£¬Ê¹ÓÃÈ¨ÖØº¯ÊýºóROQûÓÐÔöÌí¡£

±¾ÎÄΪȷ¶¨LBA¶¨Á¿ÆÊÎöÒªÁìÖÐУ׼ÇúÏߵĻعéÄ£×Ó¼°È¨Öغ¯ÊýµÄÑ¡Ôñ£¬ÌṩÁËÒ»¸ö¾öÒéÊ÷ºÍÏìÓ¦µÄÒªÁ죬ĿµÄÊÇΪÁËΪïÔÌÒì·½²îÐÔ£¨heteroscedasticity£©µÄÓ°Ïì¡£±¾ÎĵĽ¨Òé»ñµÃ3¸ö°¸ÀýÑо¿µÄÖ§³Ö¡£
ÓÉÓÚLBAÖÐÆ½ºâÁ¬Ïµ£¨equilibrium binding£©µÄÌØÕ÷£¬Êµ¼ùÖо³£ÊӲ쵽²âÊÔÏìÓ¦µÄ·Çºã¶¨·½²î£¬³ÆÎªÒì·½²îÐÔ£¨heteroscedasticity£©¡£±¾ÎÄ·¢Ã÷ÏßÐԻعéбÂÊÒªÁ죨linear regression slope approach£©Êǽâ¾öÒì·½²îÐÔ×îÏÖʵµÄÒªÁì¡£
ÔÚÒªÁ쿪·¢Àú³ÌÖУ¬¿ÉÒÔ»æÖÆÐ£×¼ÇúÏߵIJâÊÔÐźŵıê×¼·½²î£¨standard deviation£¬SD£©ÓëУ׼µãŨ¶ÈµÄ¶ÔÊýµÄÏà¹ØÍ¼¡£Ò»ÌõУ׼ÇúÏߵķǺ㶨SDÇ÷ÊÆÅú×¢±£´æÒì·½²îÐÔ£¬ÕâÒâζ×ÅÐèҪʹÓÃÈ¨ÖØº¯Êý¡£ËùÓеÄ3¸ö°¸ÀýÑо¿£¨A£¬B ºÍ C£©¶¼ÏÔʾ£¬²âÊÔÐźÅÔڽϸßÒ©ÎïŨ¶ÈÏ£¬¾ßÓиü¸ßµÄ±äÒìÐÔ£¬ÐèÒª¼ÓȨÄâºÏУ׼ÇúÏß¡£Ò»Ñùƽ³£¶øÑÔ£¬ÈκÎÒ»¸öLBA¶¨Á¿ÆÊÎöÒªÁ죬¶¼»áÊÜÒæÓÚʹÓÃÈ¨ÖØº¯Êý¡£
ÐèÒª×¢ÖØµÄÊÇ£¬Ò»µ©È·¶¨ÐèÒªÈ¨ÖØÒò×Ó£¬ÔõÑùÈ·¶¨×¼È·µÄÈ¨ÖØÒò×ÓÔò³ÉÎªÖØÖÐÖ®ÖØ¡£±¾ÎÄÍÆ¼öµÄÒªÁìÊÇ£ºÊ×ÏÈ£¬´Ó²âÊÔÐźţ¨Y£©µÄ±ê×¼·½²î£¨¶ÔÊý±ä»»ºó£©Óë²âÊÔÐÅºÅÆ½¾ùÖµ£¨¶ÔÊý±ä»»ºó£©µÄÏßÐÔ»Ø¹é¹ØÏµÖУ¬È·¶¨ÆäбÂÊ£¬ÓÖ³ÆkÖµ£»È»ºó£¬½«Ð±ÂÊ£¨k£© ´úÈëÒÔÏ·½³Ì 1/Y2k ÖУ¬ÒÔÈ·¶¨È¨ÖØÒò×Ó£¨1/Y »ò 1/Y2£©¡£
ÔÚ°¸ÀýÑо¿ A¡¢B¡¢C ÖУ¬ÏßÐԻعéµÄбÂÊ»®·ÖΪ 1.06£¬1.00 ºÍ 0.657; Òò´Ë£¬È¨ÖØÒò×Ó»®·ÖÔ¤¼ÆÎª2£¬2ºÍ1¡£ÔÚ°¸ÀýAºÍBÖУ¬È¨ÖØÒò×ÓΪ2; Òò´Ë£¬ÔÚУ׼ÇúÏ߻عéÄ£×Ó£¨4PL»ò5PL£©ÖУ¬Ê¹ÓÃÁËÈ¨ÖØº¯Êý1/Y2¡£¹ØÓÚ°¸ÀýC£¬È¨ÖØÏµÊýΪ 1; Òò´Ë£¬È¨Öغ¯ÊýΪ 1/Y¡£
ΪÁËÈ·¶¨¿É½ÓÊܵÄÇúÏßÄâºÏÄ£×Ó£¬Ó¦ÆÀ¹ÀÄâºÏÇúÏßµÄ4PLÓë5PLÄ£×Ó£¨²»¼ÓȨºÍ¼ÓȨ£©»ØËãŨ¶ÈµÄÀÛ»ý %REºÍÀÛ»ý %CV¡£Ó¦ÖÐÑ¡Ôñ£¬ÔڿɽÓÊܵĹæÄ£ÄÚ£¬¾ßÓнϵ͵Ä%CVºÍ%RE£¬Ð£×¼µãÊýÄ¿½Ï¶àµÄ»Ø¹éÄ£×Ó¡£ÈôÊÇÁ½Õß¶¼ÊÇÏ൱µÄ£¬ÔòÑ¡Ôñ¼ÓȨ4PLÄ£×Ó×÷Ϊ×îÖÕÇúÏßÄâºÏÄ£×Ó£¬¾ÙÐÐÒªÁìÑéÖ¤ºÍÑùÌìÖ°Îö¡£Æ¾Ö¤ FDA Ö¸ÄÏ£¬Ó¦ÖÐÑ¡Ôñ¼ÙÉè×îÉÙµÄÄ£×Ó£¬¼´Ñ¡Ôñ×î¼òÆÓµÄÄ£×Ó¡£Æ¾Ö¤Ï¸ÃܶȺÍ׼ȷ¶ÈÊý¾Ý£¬ÔÚËùÓÐ3¸ö°¸ÀýÖУ¬4PL¶¼ÊÇ»ùÓÚÕâЩ±ê×¼µÄ×î¼Ñ»Ø¹éÄ£×Ó¡£
ΪÁËÑéÖ¤ËùÑ¡Ôñ»Ø¹éÄ£×ÓºÍÈ¨ÖØº¯Êý£¬¿ÉÒÔ×öÆäËûÆÀ¹À¡£ÀýÈ磬ÔÚʹÓÃÈ¨ÖØº¯Êý֮ǰºÍÖ®ºó£¬¿ÉÒÔ½ÏÁ¿4PLºÍ5PLÄ£×ÓµÄ׼ȷ¶ÈºÍϸÃܶÈÐÐΪ¡£±¾Îĸø³öÁË4PLÓë5PL£¨ÎÞ¼ÓȨºÍ 1/Y2¼ÓȨ£©µÄÀÛ»ý %CV ºÍÀÛ»ý %RE µÄ½ÏÁ¿£¬ÀÛ»ý %REµÄ¿É½ÓÊܹæÄ£Îª¡À 20%£¬ÀÛ»ý %CV µÄ¿É½ÓÊܹæÄ£Îª¡Ü20%¡£
°¸ÀýAÅú×¢£¬Ê¹ÓÃÊʵ±µÄÈ¨ÖØº¯Êý¿ÉÒÔÌá¸ßϸÃܶȺÍ׼ȷÐÔ£¨¾ùµÍÓÚ10%£©ºÍÀ©Õ¹¶¨Á¿¹æÄ££¨0.317-178 ng/mL£©¡£ÔÚ°¸ÀýBºÍCÖУ¬Ð£×¼ÇúÏßÄâºÏÒ²ÓиÄÉÆ¡£°¸ÀýBÔÚ4PL»Ø¹éÄ£×ÓÉϼÓȨºó£¬ROQ»ñµÃÏÔÖøÀ©Õ¹£ºÎ´¼ÓȨʱΪ1.04-48.3 ng/mL£»¼ÓȨºóΪ 0.602-145 ng/mL£»5PLÄ£×Ó£¬Î´¼ÓȨ1.04-145 ng/mL£¬¼ÓȨºó0.602-48.3 ng/mL¡£°¸ÀýC4PLÄ£×ÓÔÚ¼ÓȨºóROQ ÂÔÓÐÀ©Õ¹£ºÎ´¼ÓȨ2.06-79.3 ng/mL£»¼ÓȨΪ1.37-79.3 ng/mL¡£
ÔÚ¶¨Á¿ LBA ÒªÁ쿪·¢Àú³ÌÖУ¬±¾ÎÄÏÈÈÝÁËÒ»¸ö¼òÆÓ¡¢Ò×ÓÚʹÓõľöÒéÊ÷£¬ÒÔÈ·¶¨Ð£×¼ÇúÏßµÄ×î¼Ñ»Ø¹éÄ£×ÓºÍÈ¨ÖØ¡£ËùÍÆ¼öµÄÒªÁ콫ѡÔñÒ»¸ö¼ÓȨµÄÇúÏßÄâºÏÄ£×Ó¡£
1. ÔÚÒªÁ쿪·¢Àú³ÌÖУ¬ÖÁÉÙÐèҪʹÓÃ3¸ö×ÔÁ¦µÄ²âÊÔÔËÐжÔÄ£×ÓÑ¡Ôñ¾ÙÐÐÆðÔ´ÆÀ¹À; ¿ÉÊÇ£¬Ò»Ñùƽ³£½¨ÒéÔöÌíÔËÐеÄÊýÄ¿£¬ÒÔ±ãÔÚÑо¿Ç°Ñé֤ʱ£¬ÑéÖ¤ÇúÏßÄâºÏÄ£×Ó¡£ÓÉÓÚ¶ÔÏìÓ¦-Îó²î¹ØÏµµÄÔ¤¼Æ±£´æ¾ÖÏÞÐÔ£¬Òò´Ë²»½¨ÒéʹÓýÏСµÄÊý¾ÝÜöÝÍ£»
2. ÆÀ¹ÀÒì·½²îÐÔ£»
3. ÈôÊDZ£´æÒì·½²îÐÔ£¬¾Íͨ¹ýбÂÊÒªÁìÈ·kÖµ£¨¼´Ð±ÂÊ£©£¬È»ºóÅÌËãÈ¨ÖØÒò×Ó£¨È¨Öغ¯Êý=1/Y2k£©£»
4. ʹÓÃ׼ȷ¶È£¨%RE£©ºÍϸÃܶȣ¨%CV£©ÐÐΪÀ´Ñ¡ÔñºÍÑéÖ¤¸üºÃµÄ¼ÓȨ»Ø¹éÄ£×Ó£»
5. ½¨ÒéʹÓÃ×ÔÁ¦ÖƱ¸µÄÖÊÁ¿¿ØÖÆÑùÆ·£¨QC£©À´ÑéÖ¤ÆÊÎöÒªÁìµÄ¶¨Á¿¹æÄ£¡£
±¾ÎÄÈôÓÐÊ詺ÍÎó¶ÁÏà¹ØÖ¸ÄϺÍÊý¾ÝµÄµØ·½£¬Çë¶ÁÕß̸ÂÛºÍÖ¸Õý¡£ËùÓÐÒýÓõÄÔʼÐÅÏ¢ºÍ×ÊÁϾùÀ´×ÔÒѾ½ÒÏþѧÊõÆÚ¿¯, ¹Ù·½ÍøÂ籨µÀ, µÈ¹ûÕæÇþµÀ, ²»Éæ¼°Èκα£ÃÜÐÅÏ¢¡£²Î¿¼ÎÄÏ×µÄÑ¡Ôñ˼Á¿µ½¶àÑù»¯µ«Ò²²»¿ÉÄÜÍêÕû¡£½Ó´ý¶ÁÕßÌṩÓмÛÖµµÄÎÄÏ×¼°ÆäÆÀ¹À¡£


ÔÁ¹«Íø°²±¸ 44011202001884ºÅ

ÔÁ¹«Íø°²±¸ 44011202001884ºÅ